Operation CHARM
: Car repair manuals for everyone.
Home
>>
Mitsubishi Truck
>>
2006
>>
Outlander L4-2.4L SOHC
>>
Repair and Diagnosis
>>
Windows and Glass
>>
Windows
>>
Window Glass
>>
Service and Repair
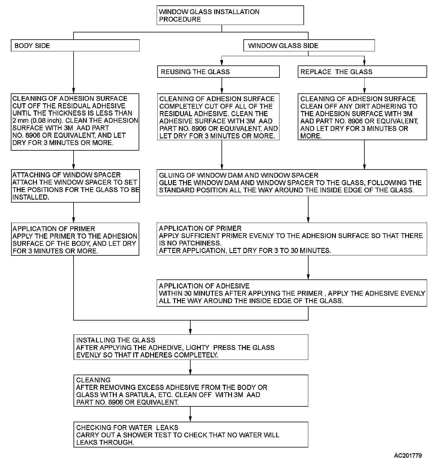
Window Glass: Service and Repair
Window Glass Installation: